三丁基甲基铵双三氟甲磺酰亚胺盐的性质
- 2021-08-10 21:18:00
- 何妍 原创
- 1517
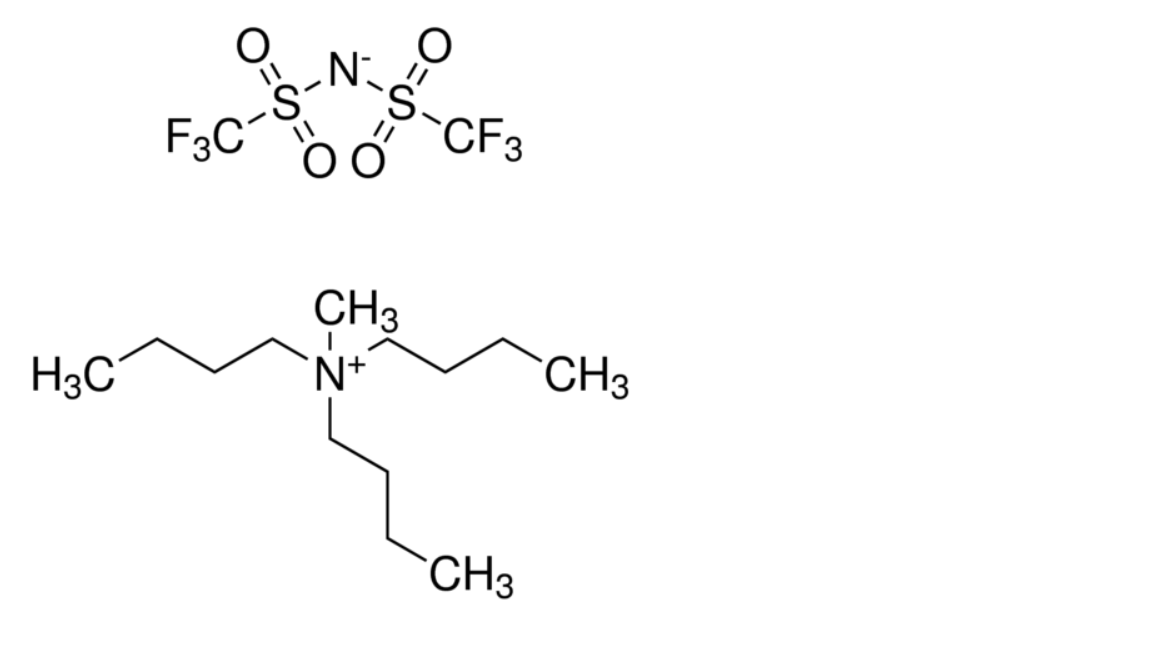
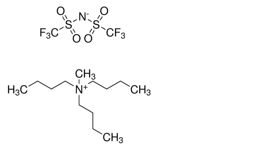
离子液体: 三丁基甲基铵双三氟甲磺酰亚胺盐(TBMA-TFSI)是一种高效光学级抗静电添加剂
注意事项:1. 固体情况下,加热>30℃既可液化
2. 引发剂或对其有性能上的影响,需过量添加才有效果
中文常用名:三丁基甲基铵双三氟甲磺酰亚胺盐
三丁基甲基铵双(三氟甲磺酰)亚胺盐
三正丁基甲基铵双(三氟甲磺酰)亚胺盐
英文常用名:
tributylmethylammonium bis(trifluoromethylsulfonyl)imide
CAS 号: 405514-94-5
化学结构式:
默逸 | MOIEAR
默逸(上海)科技有限公司,即Moiear (Shanghai) Technology Co., Ltd.,在全球显示面板产业配套向国内倾斜的大背景下成立,核心产品用于配套满足该领域对高端化学新材料的需求,并且以该领域为行业支撑,保证细分产品满足该领域的需求,同时结合自身在特定细分产品的技术能力,进一步不断研究提供新品,以及扩大相关产品在其他领域的应用(如电池、芯片、电子等),为了营销更好的产品生态体系,还将引进国内外先进的产品资源与供应渠道体系,最大程度为终端客户在化学新材料范畴内提供全方位解决方案,强化供需关系的稳定性,为此,我们不遗余力的从客户角度触发,不断优化产品与供应体系,保持产业的良性生态发展。我们的战略方针是:
专注于 满足光学膜化学新材料需求
| 联系人: | 何清 |
|---|---|
| 电话: | 021-38250098 |
| 传真: | 021-38228591 |
| Email: | qing@moiear.com |
| QQ: | 3078182654 |
| 微信: | 13816393132 |
| 地址: | 中国(上海)自由贸易试验区临港新片区环湖西二路588号201、249室 |


